BusfotoBUSFOTO

Bildinformationen

963 KB


Foto-ID:278812
Dateigröße:963 KB
Aufgenommen von:John M.
Veröffentlicht am:28.04.2019 14:51 EET
Tage seit Veröffentlichung:2482
Aufrufe:352
Kommentare:0

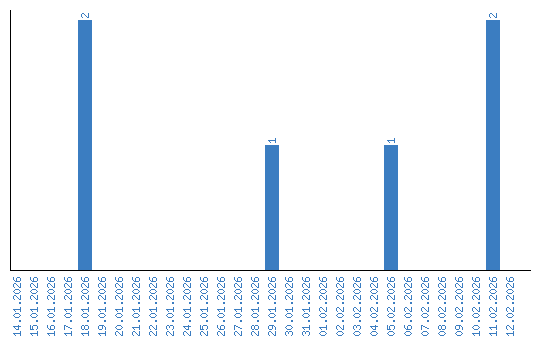
Aufrufestatistik (Tage)