BusphotoBUSPHOTO

Picture Statistics

562 KB


Picture ID:280268
File Size:562 KB
Author:Światosław Neuhauz
Publication Date:09.05.2019 15:49 EET
Days in Database:2465
Unique views:213
Comments:0

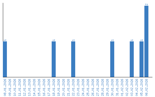
Viewing statistics by date