BusphotoBUSPHOTO

Picture Statistics

426 KB


Picture ID:284716
File Size:426 KB
Author:marqoos_pl
Publication Date:15.06.2019 10:38 EET
Days in Database:2386
Unique views:250
Comments:0

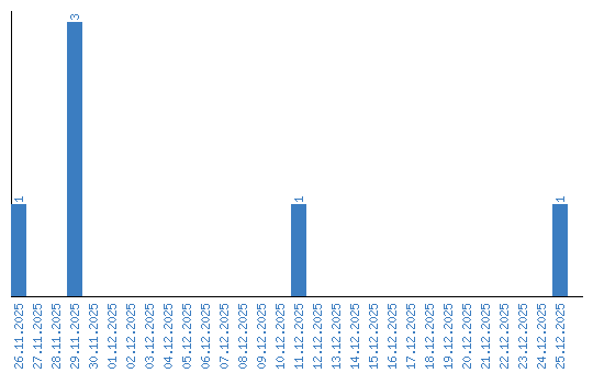
Viewing statistics by date