BusphotoBUSPHOTO

Picture Statistics

472 KB


Picture ID:287610
File Size:472 KB
Author:Николай Кармаевский
Publication Date:05.07.2019 19:48 EET
Days in Database:2366
Unique views:305
Comments:0

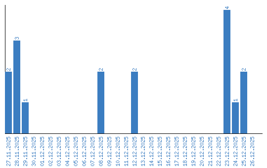
Viewing statistics by date