BusphotoBUSPHOTO

Nuotraukos informacija

369 Kb


Nuotraukos identifikatorius:291223
Bylos dydis:369 Kb
Autorius:SIlvia_1990
Publikuota:01.08.2019 18:00 EET
Yra tinklapyje dienų:2338
Unikalių peržiūrų:232
Komentarų:0

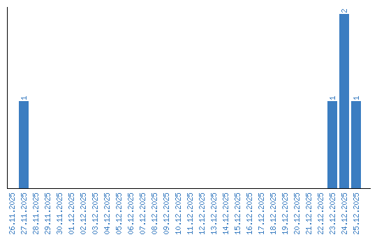
Peržiūrų dinamika pagal dienas