BusphotoBUSPHOTO

Štatistika obrázku

455 kB


Identifikátor obrázku:293462
Veľkosť súboru:455 kB
Autor:Arek Dynamo
Zverejnené:21.08.2019 19:20 EET
Nachádza sa na stránkach (dní):2348
Jednotlivých zhliadnutí:313
Komentárov:1

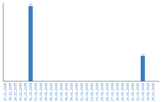
Zobrazenia po jednotlivých dňoch