BusphotoBUSPHOTO

Picture Statistics

277 KB


Picture ID:294354
File Size:277 KB
Autorul:Der Zugchef
Publication Date:30.08.2019 11:32 EET
Days in Database:2342
Unique views:214
Comments:0

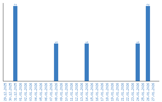
Viewing statistics by date