BussfotoBUSSFOTO

Bildstatistik

455 KB


Bild ID:294875
Filstorlek:455 KB
Författare:Kimmi
Publiceringsdatum:03.09.2019 12:24 EET
Dagar i databasen:2350
Unika visningar:127
kommentarer:0

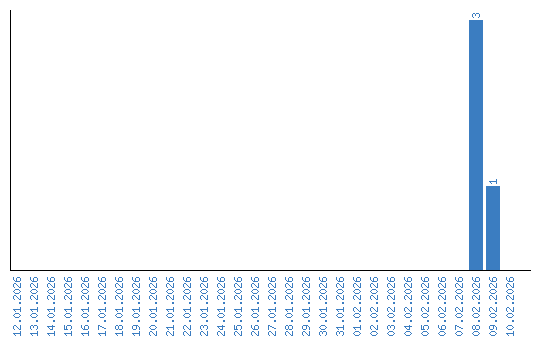
Visar statistik efter datum