BusphotoBUSPHOTO

Picture Statistics

501 KB


Picture ID:295976
File Size:501 KB
Author:Kimmi
Publication Date:12.09.2019 00:10 EET
Days in Database:2362
Unique views:172
Comments:0

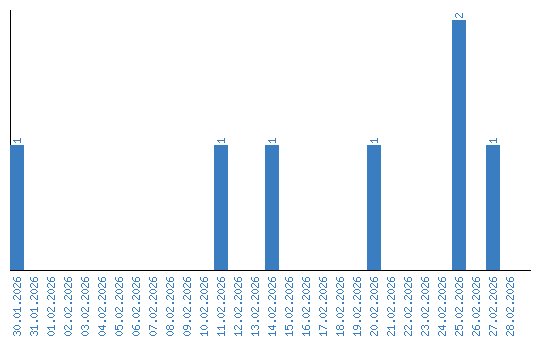
Viewing statistics by date