BusphotoBUSPHOTO

Picture Statistics

471 KB


Picture ID:296076
File Size:471 KB
Author:Valius Kedainietis
Publication Date:12.09.2019 18:17 EET
Days in Database:2297
Unique views:314
Comments:0

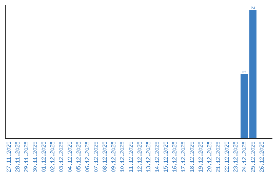
Viewing statistics by date