BusphotoBUSPHOTO

Picture Statistics

433 KB


Picture ID:297038
File Size:433 KB
Author:alehandro
Publication Date:20.09.2019 13:18 EET
Days in Database:2338
Unique views:469
Comments:0

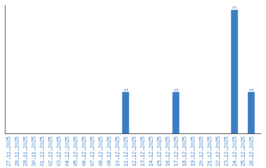
Viewing statistics by date