BusphotoBUSPHOTO

Iнфармацыя аб малюнку

522 КБ


Ідэнтыфікатар малюнка:297110
Памер файла:522 КБ
Аўтар:Kimmi
Апублікавана:21.09.2019 00:06 EET
Знаходзіцца на сайце, дзён:2317
Унікальных праглядаў:262
Каментароў:0

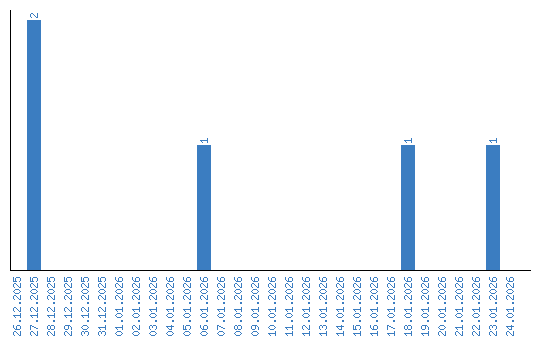
Дынаміка праглядаў па датах