BusphotoBUSPHOTO

Statistika obrázku

495 kB


Identifikátor obrázku:297426
Velikost souboru:495 kB
Autor:Сергей Хорошев
Zveřejněno:22.09.2019 22:42 EET
Nachází se na stránkách (dní):2320
Jednotlivých zhlédnutí:322
Komentářů:0

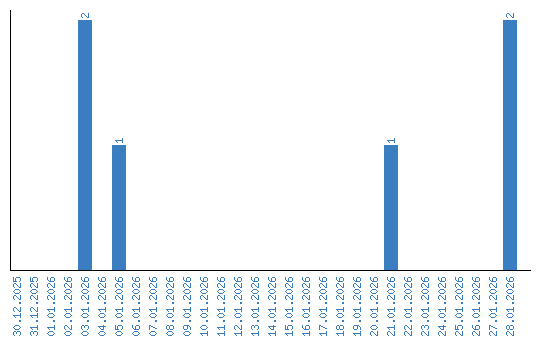
Zhlédnutí po jednotlivých dnech