BusphotoBUSPHOTO

Picture Statistics

590 KB


Picture ID:299173
File Size:590 KB
Author:Bussmicke
Publication Date:06.10.2019 11:17 EET
Days in Database:2274
Unique views:221
Comments:0

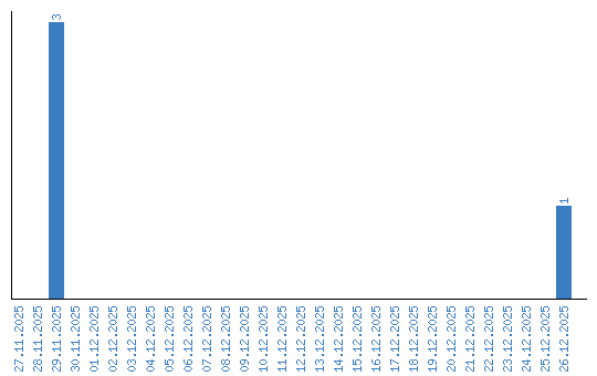
Viewing statistics by date