BusphotoBUSPHOTO

Picture Statistics

381 KB


Picture ID:300772
File Size:381 KB
Author:HKN
Publication Date:19.10.2019 09:13 EET
Days in Database:2321
Unique views:232
Comments:0

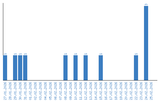
Viewing statistics by date