BusphotoBUSPHOTO

Picture Statistics

238 KB


Picture ID:30102
File Size:238 KB
Author:olegp
Publication Date:14.03.2012 23:11 EET
Days in Database:5052
Unique views:157
Comments:0

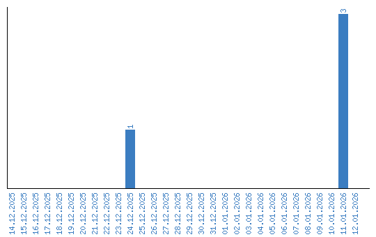
Viewing statistics by date