BusphotoBUSPHOTO

Picture Statistics

283 KB


Picture ID:301162
File Size:283 KB
Author:Światosław Neuhauz
Publication Date:22.10.2019 00:43 EET
Days in Database:2323
Unique views:255
Comments:0

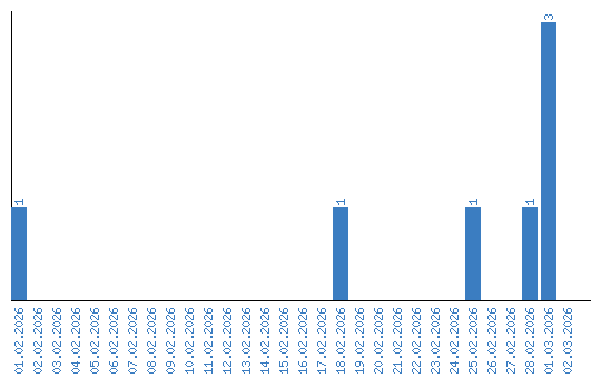
Viewing statistics by date