BusfotoBUSFOTO

Bildinformationen

523 KB


Foto-ID:303715
Dateigröße:523 KB
Aufgenommen von:Bussmicke
Veröffentlicht am:08.11.2019 08:35 EET
Tage seit Veröffentlichung:2247
Aufrufe:139
Kommentare:0

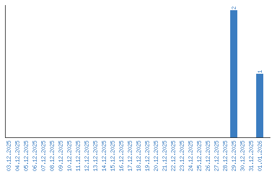
Aufrufestatistik (Tage)