BusphotoBUSPHOTO

Picture Statistics

482 KB


Picture ID:304392
File Size:482 KB
Author:Valius Kedainietis
Publication Date:13.11.2019 02:01 EET
Days in Database:2283
Unique views:213
Comments:0

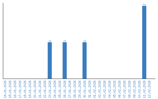
Viewing statistics by date