BusphotoBUSPHOTO

Picture Statistics

526 KB


Picture ID:304815
File Size:526 KB
Author:Bussmicke
Publication Date:16.11.2019 08:11 EET
Days in Database:2295
Unique views:276
Comments:0

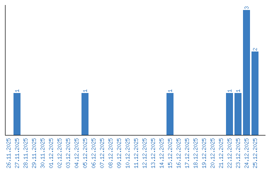
Viewing statistics by date