BusphotoBUSPHOTO

Picture Statistics

383 KB


Picture ID:30816
File Size:383 KB
Author:kr0t
Publication Date:20.03.2012 16:16 EET
Days in Database:5091
Unique views:172
Comments:6

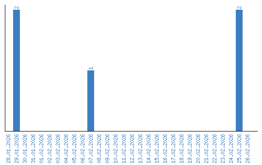
Viewing statistics by date