BusphotoBUSPHOTO

Picture Statistics

373 KB


Picture ID:310048
File Size:373 KB
Author:hotimsk
Publication Date:27.01.2020 16:41 EET
Days in Database:2220
Unique views:207
Comments:0

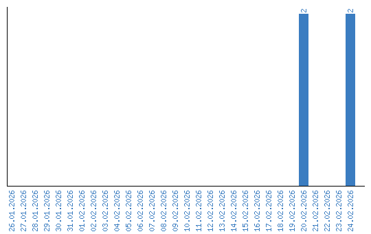
Viewing statistics by date