BusphotoBUSPHOTO

Picture Statistics

296 KB


Picture ID:311111
File Size:296 KB
Author:olegp
Publication Date:02.02.2020 14:59 EET
Days in Database:2154
Unique views:206
Comments:0

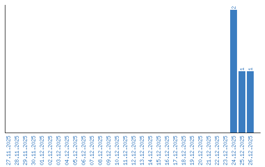
Viewing statistics by date