BusphotoBUSPHOTO

Picture Statistics

689 KB


Picture ID:311433
File Size:689 KB
Author:Wendel
Publication Date:03.02.2020 20:46 EET
Days in Database:2152
Unique views:184
Comments:0

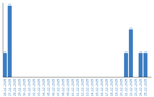
Viewing statistics by date