BusphotoBUSPHOTO

Picture Statistics

361 KB


Picture ID:311875
File Size:361 KB
Fotografato da:Dirk Edelmann
Publication Date:06.02.2020 16:15 EET
Days in Database:2199
Unique views:287
Comments:0

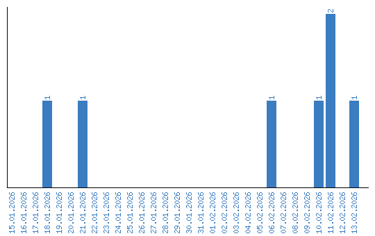
Viewing statistics by date