BusphotoBUSPHOTO

Iнфармацыя аб малюнку

481 КБ


Ідэнтыфікатар малюнка:313459
Памер файла:481 КБ
Аўтар:Николай Кармаевский
Апублікавана:14.02.2020 22:39 EET
Знаходзіцца на сайце, дзён:2205
Унікальных праглядаў:166
Каментароў:0

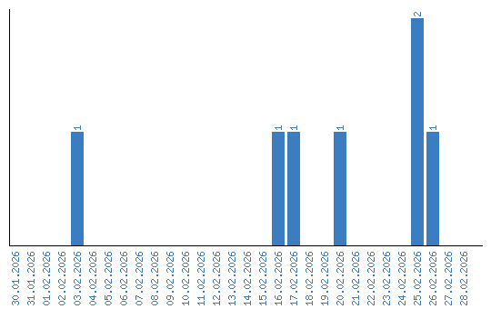
Дынаміка праглядаў па датах