BusphotoBUSPHOTO

Picture Statistics

469 KB


Picture ID:314375
File Size:469 KB
Author:krajewski
Publication Date:20.02.2020 09:04 EET
Days in Database:2136
Unique views:342
Comments:0

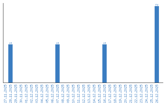
Viewing statistics by date