BusphotoBUSPHOTO

Picture Statistics

532 KB


Picture ID:315684
File Size:532 KB
Author:krajewski
Publication Date:29.02.2020 20:27 EET
Days in Database:2127
Unique views:283
Comments:0

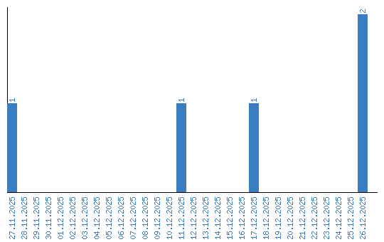
Viewing statistics by date