BusphotoBUSPHOTO

Picture Statistics

0 KB


Picture ID:323108
File Size:0 KB
Author:BPO-537
Publication Date:19.04.2020 00:02 EET
Days in Database:2083
Unique views:240
Comments:0

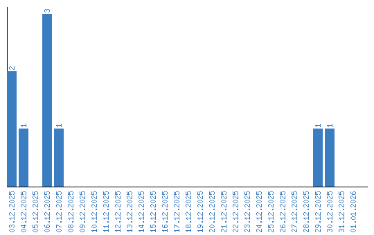
Viewing statistics by date