BusphotoBUSPHOTO

Picture Statistics

0 KB


Picture ID:323308
File Size:0 KB
Fotografato da:Lord Byron
Publication Date:19.04.2020 20:11 EET
Days in Database:2094
Unique views:487
Comments:0

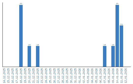
Viewing statistics by date