BusphotoBUSPHOTO

Picture Statistics

0 KB


Picture ID:323669
File Size:0 KB
Author:ZdarskySotous
Publication Date:22.04.2020 01:52 EET
Days in Database:2101
Unique views:288
Comments:0

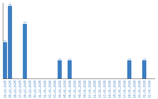
Viewing statistics by date