BusphotoBUSPHOTO

Statistiques d'images

0 KO


ID de l'image:323731
Taille du fichier:0 KO
Auteur:ZdarskySotous
Date de publication:22.04.2020 19:18 EET
Jours dans la base de données:2073
Vues uniques:290
Commentaires:0

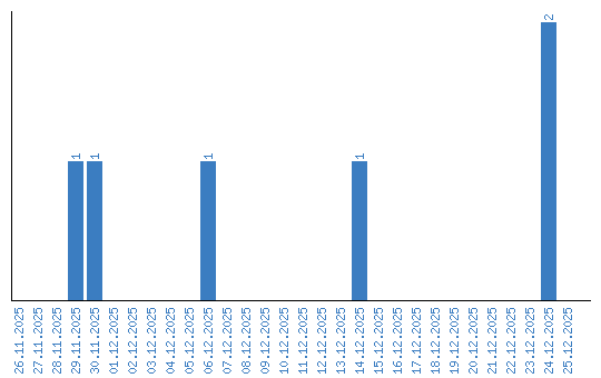
Affichage des statistiques par date