BusphotoBUSPHOTO

Picture Statistics

0 KB


Picture ID:323876
File Size:0 KB
Fotografato da:Sebastian590
Publication Date:23.04.2020 11:55 EET
Days in Database:2115
Unique views:236
Comments:0

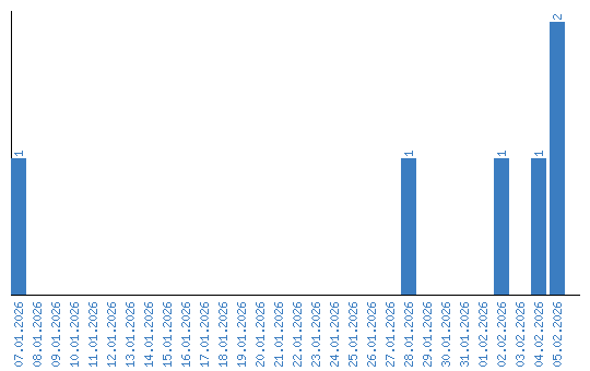
Viewing statistics by date