BusphotoBUSPHOTO

Picture Statistics

0 KB


Picture ID:324494
File Size:0 KB
Author:TomoSK
Publication Date:26.04.2020 15:36 EET
Days in Database:2098
Unique views:249
Comments:0

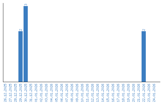
Viewing statistics by date