BusphotoBUSPHOTO

Picture Statistics

326 KB


Picture ID:32500
File Size:326 KB
Author:kr0t
Publication Date:05.04.2012 18:50 EET
Days in Database:5077
Unique views:160
Comments:0

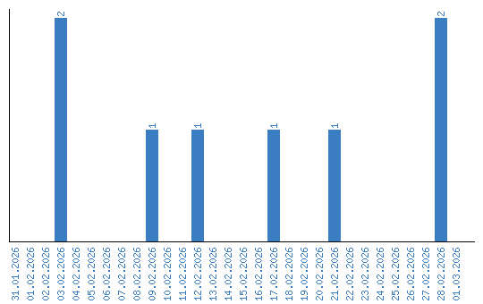
Viewing statistics by date