BusphotoBUSPHOTO

Picture Statistics

0 KB


Picture ID:325051
File Size:0 KB
Yazar:Maxim_MMM
Publication Date:29.04.2020 23:28 EET
Days in Database:2124
Unique views:392
Comments:0

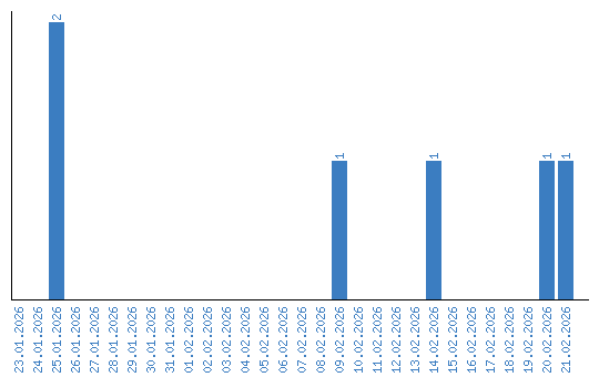
Viewing statistics by date