BusphotoBUSPHOTO

Picture Statistics

0 KB


Picture ID:325764
File Size:0 KB
Author:SunWenyuan
Publication Date:03.05.2020 10:35 EET
Days in Database:2063
Unique views:284
Comments:0

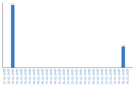
Viewing statistics by date