BusphotoBUSPHOTO

Picture Statistics

203 KB


Picture ID:32687
File Size:203 KB
Author:olegp
Publication Date:06.04.2012 20:56 EET
Days in Database:5042
Unique views:111
Comments:0

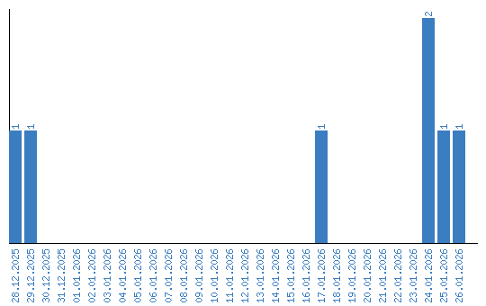
Viewing statistics by date