BusphotoBUSPHOTO

Picture Statistics

0 KB


Picture ID:326924
File Size:0 KB
Author:Grænselandets Busser
Publication Date:11.05.2020 15:25 EET
Days in Database:2105
Unique views:186
Comments:0

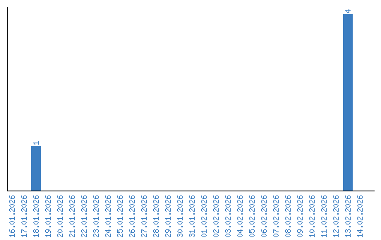
Viewing statistics by date