BusphotoBUSPHOTO

Picture Statistics

0 KB


Picture ID:327249
File Size:0 KB
Author:Valius Kedainietis
Publication Date:14.05.2020 01:04 EET
Days in Database:2052
Unique views:267
Comments:0

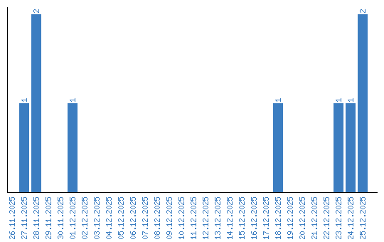
Viewing statistics by date