BusphotoBUSPHOTO

Picture Statistics

0 KB


Picture ID:328196
File Size:0 KB
Author:S. Franke
Publication Date:19.05.2020 18:54 EET
Days in Database:2096
Unique views:314
Comments:0

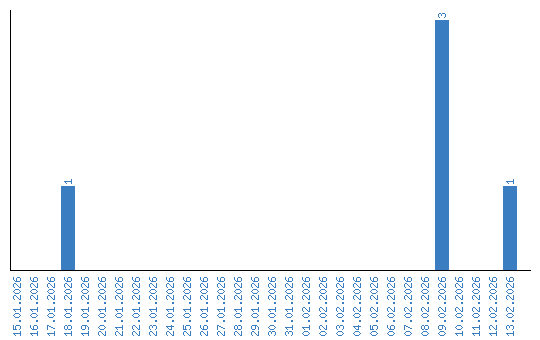
Viewing statistics by date