BusphotoBUSPHOTO

Picture Statistics

0 KB


Picture ID:329357
File Size:0 KB
Author:Bussmicke
Publication Date:25.05.2020 22:00 EET
Days in Database:2090
Unique views:209
Comments:0

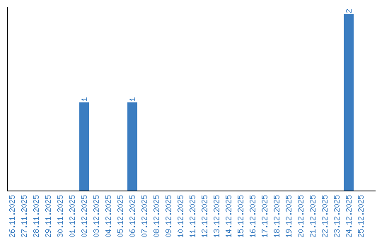
Viewing statistics by date