BusphotoBUSPHOTO

Picture Statistics

0 KB


Picture ID:329728
File Size:0 KB
Author:danielsnk
Publication Date:28.05.2020 00:02 EET
Days in Database:2103
Unique views:499
Comments:0

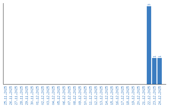
Viewing statistics by date