BusphotoBUSPHOTO

Statistiques d'images

0 KO


ID de l'image:331540
Taille du fichier:0 KO
Auteur:Aleksander2560
Date de publication:06.06.2020 22:24 EET
Jours dans la base de données:2074
Vues uniques:270
Commentaires:0

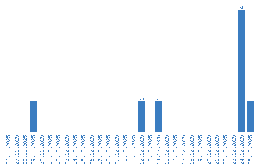
Affichage des statistiques par date