BusphotoBUSPHOTO

Picture Statistics

0 KB


Picture ID:335468
File Size:0 KB
Author:Александрес
Publication Date:29.06.2020 17:38 EET
Days in Database:2023
Unique views:204
Comments:0

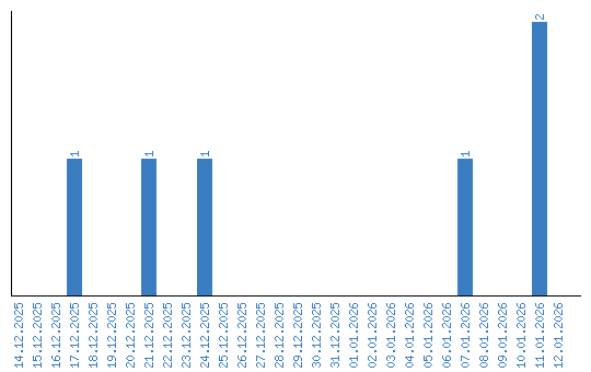
Viewing statistics by date