BusphotoBUSPHOTO

Picture Statistics

0 KB


Picture ID:336723
File Size:0 KB
Author:Metropolitan456
Publication Date:07.07.2020 20:40 EET
Days in Database:1997
Unique views:255
Comments:0

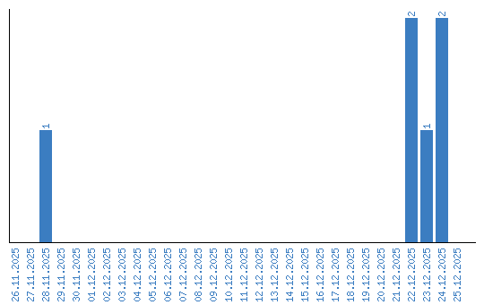
Viewing statistics by date