BusphotoBUSPHOTO

Picture Statistics

0 KB


Picture ID:336812
File Size:0 KB
Author:German Perfectionist
Publication Date:08.07.2020 12:56 EET
Days in Database:2033
Unique views:167
Comments:0

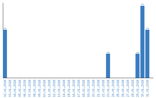
Viewing statistics by date