BusphotoBUSPHOTO

Picture Statistics

0 KB


Picture ID:337545
File Size:0 KB
Author:Bussmicke
Publication Date:13.07.2020 22:00 EET
Days in Database:2018
Unique views:257
Comments:0

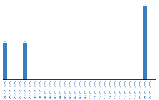
Viewing statistics by date