BusphotoBUSPHOTO

Picture Statistics

0 KB


Picture ID:338581
File Size:0 KB
Author:Bussmicke
Publication Date:20.07.2020 20:58 EET
Days in Database:1984
Unique views:187
Comments:0

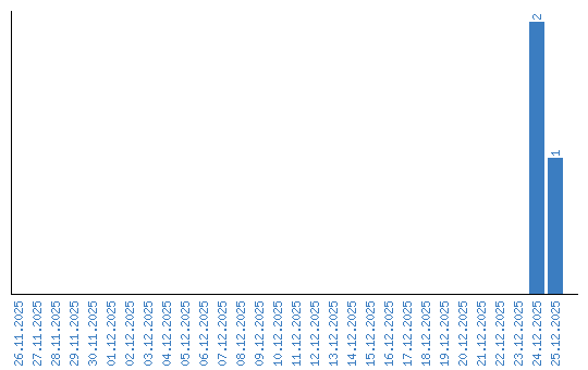
Viewing statistics by date