BusphotoBUSPHOTO

Statistiques d'images

0 KO


ID de l'image:341186
Taille du fichier:0 KO
Auteur:Stephan Günther
Date de publication:07.08.2020 08:12 EET
Jours dans la base de données:1978
Vues uniques:204
Commentaires:0

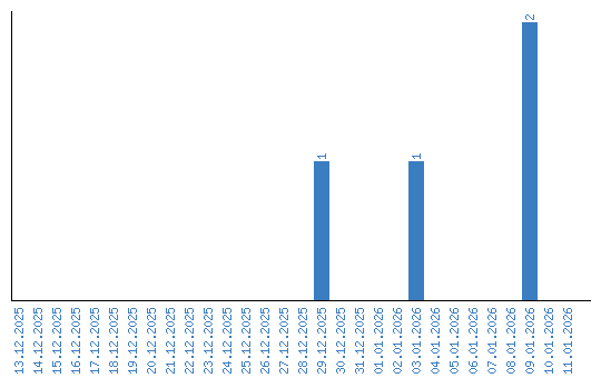
Affichage des statistiques par date